7 сынып. Алгебра.
Сабақтың тақырыбы: Рационал бөлшек және оның негізгі қасиеті. Бөлшектерді қысқарту тақырыбына есептер шығарту
Сабақтың мақсаты: Оқушылардың рационал бөлшек қасиеттерін қолданып бөлшектерді қысқарту дағдыларын қалыптастыру және алған білімдерін дұрыс қолдана білуге баулу
Сабақтың міндеттері:
Рационал бөлшекті қысқартуды және рационал бөлшек мағынасы ұғымын меңгерту, қысқаша көбейту формулалары мен көбейткішке жіктеу ережелерін қолдану дағдыларын қалыптастыру.
Есеп шартын анық тусінуі және оны шешу жолдарын дұрыс таңдай білу қабілеттерін дамыту;
Есепті шешу жолын талапқа сай жазуын, өз ойын түсінікті жеткізе білуге, өзгені тыңдай білуге, жылдам ойлауға және әрекет етуге тәрбиелеу.
Көрнекілігі: Қысқаша көбейту формулалары.Бөлшектің негізгі қасиеті
Әдісі: СТО стратегиялары, түсіндіру, көрсету,сұрақ-жауап.
Сабақтың типі: Қайталау сабағы
Сабақтың формасы: Ұжымдық, топтық, жеке
Сабақтың барысы:
I.Ұйымдастыру кезеңі Сәлемдесу. Оқушыларды түгендеу.Зейіндерін аудару ./ Олүшін еңбек туралы мақалдарды қаншалықты білетінімізді көрсетейік:
1.Еңбек етсең ерінбей-тояды қарның тіленбей, Еңбек етсең-емерсің.
2. Еңбек түбі –зейнет т.б. Иә, еңбек адамның жақсы өмір сүруінің негізгі кілті дей келе сабағымызды бастайық.
Сонымен бүгінгі күнге дейін не білдік? Ой-толғаныс. Оқушылар ойларын тақтаға жазады. Мысалы:
| Білемін | Білдім | Білгім келеді |
| -Қысқаша көбейту формулаларын -Бүтін көрсеткішті дәреже -Санның стандарт түрі -Бірмүше -Көпмүшелер
| -Рационал бөлшек -Рационал бөлшекті қысқарту - Өрнектің ММЖ | - Рационал бөлшек терді қосу, азайту -Рационал бөлшектерді көбейту және бөлу - Өрнекті түрлендіру |
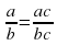
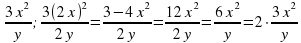
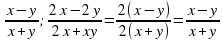
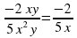
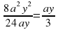
ІІ. Үй тапсырмасын тексеру: Оқушылардың рет- ретімен жауап беруі арқылы №483 6) а=0, а=4 7) а=3, а=-3, 8) а= - 1, а= -5,
№484 7) х=а, 8) х =-в, 9) х=-1 х=1 10) х=-1, х =2,
№486 (7-10)
Оқушыларды тақтаға жаздыру арқылы тексеру. Үй тапсырмасын бағалау.
7)
; 8)
; 9)
; 10)
.
IҮ.Сабақтың мақсатымен таныстыру. Өткен сабақта алған білімдерімізді дамыту мақсатында топ бойынша жұмыс жасаймыз.Топтың атын қабылдап алу.
1-топ аты «Алғырлар» ; 2-топ аты «Тапқырлар»
Мақсатымыз топқа берілген тапсырмаларды жылдам орындап ортадан бір оқушыны жауап беруге шығару
ІІІ.Білімдерін тексеру/ Экранда проекциялап көрсету/
| 1 |
|
|
| 2 | Рационал бөлшек |
|
| 3 | ММЖ: |
|
| 4 | Рационал бөлшектің негізгі қасиеті |
|
| 5 | Рационал бөлшектің қасиеті |
|
| 6 | Көюейткішке жікте
|
|
ҮІ.Өтілген материалдың түсінігін тексеру.
Есептер шығару. Есептің тақтарын 1-топ, жұптарын 2-топ орындайды
№485
; жоқ
2 )
; иә
иә.
жоқ.
№487(1-6) №488 (1-4), № 489 (1,2)
VII.Қорытындылау, бағалау












